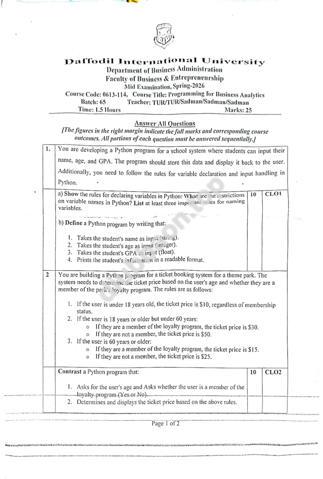
Programming For Business Analytics – Spring 2026 – Midterm
Answer Scripts
We try to add a possible answer here, everyone can contribute in their own way.
No answer scripts have been uploaded for this question yet.
Be the first to upload

Frequently Asked Questions
What is the course code for Programming For Business Analytics?
The course code for Programming For Business Analytics at DIU BBA is 0613-114.
Where can I download Programming For Business Analytics – Spring 2026 – Midterm?
You can download Programming For Business Analytics – Spring 2026 – Midterm for Programming For Business Analytics (0613-114) from the DIU BBA Archive. This question is from the Spring 2026, Batch BBA 65.
Are there answer scripts available for this question?
Currently, no answer script is available for this question. However, if you have one, you can contribute by uploading it to help your fellow students.
Who can access these resources?
These resources are freely available to all students of Daffodil International University. Our goal is to make academic resources easily accessible for everyone.
More from Programming For Business Analytics
0613-114 — 1 related question found